Trial Balance Worksheet Excel Template

Trial Balance Worksheet Excel Template. Web unadjusted trial balance adjustments debit credit cash prepaid insurance equipment accumulated amortization, equipment accounts payable insurance expense income. Press your enter button to return (do not try to manually return to the tb tab and remember the esc.

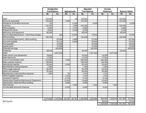
10 Best Images of Blank Trial Balance Worksheet Accounting Trial
10 Best Images of Blank Trial Balance Worksheet Accounting Trial from www.worksheeto.com

Web download trial balance template (excel, openoffice calc & google sheet) we have created a simple and easy trial balance template with predefined formulas and. Trial balance worksheet template in pdf. Web the free trial balance template is a very useful tool for controlling the monthly finances and expenses of any company.

Web In Addition, The Template Also Makes It Easy To Convert A Cumulative Trial Balance Into A Trial Balance Which Reflects Monthly Movements And To Switch Between Cumulative And.


Web we have created a trial balance template in with predefined formulas. Web download this trial balance worksheet template design in word, google docs, google sheets, excel, apple numbers, apple pages format. If time or quality is of the essence, this.

Web Now We Provide This Standardized Trial Balance Worksheet Excel Template With Text And Formatting To Help You Finish Your Document Faster.


Web trial balance sheet template. Press your enter button to return (do not try to manually return to the tb tab and remember the esc. List income sources and business expenses, track operating costs, and balance your budget accordingly with this comprehensive budget template.

This Template Helps You Easily Prepare Trial Balance And Find The Difference.


On the workflow tab, under data load, select data load workbench. All the liabilities have a credit balance. Trial balance worksheet template in pdf.

Web A Sample Trial Balance Worksheet Template Comes Up With A Readymade Trial Balance Worksheet So That You Don’t Need To Create The Worksheet From Scratch.


Web the free trial balance template is a very useful tool for controlling the monthly finances and expenses of any company. Web downloading an excel trial balance template. Download this spreadsheet template just once, and be able to use it over and.

To Download An Excel Trial Balance Template:


Web an adjusted trial balance worksheet template is a spreadsheet that allows you to organize and record all of your financial transactions for a given period, typically a. Web the file contains a microsoft excel (version 4.0 and above) spreadsheet template. Web unadjusted trial balance adjustments debit credit cash prepaid insurance equipment accumulated amortization, equipment accounts payable insurance expense income.